![]() |
Учитель математики и информатики Образование – высшее Первая квалификационная категория |
Моя методическая копилка: |
|
![]() |
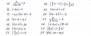
Элективный курс по математике для 9 класса "Этот таинственный модуль" (календарно-тематическое планирование+презентация) |
![]() |
Проект по теме: элективный курс "Учимся правильному расчету процентов в реальной жизни"
|
![]() |
Проект по ИЗО "Одарённые дети" (презентации, анкеты для учителей, детей, родителей, буклет, элективный курс «Русская живопись») |
![]() |
Урок математики в 5 классе по теме «Формулы» (урок+презентация) |
![]() |
Урок математики в 5 классе по теме «Натуральные числа» (конспект урока) |
![]() |
Урок алгебры в 7 классе по теме "Формулы сокращённого умножения" (конспект урока и интерактивный урок Smart Notebook) |
![]() |
Урок математики в 6 классе по теме "Сложение и вычитание смешанных чисел" (урок+презентация)
|
![]() |
Экологический праздник "Войди в лес другом" можно провести в летнем лагере, а также он может быть итоговым и завершает неделю экологии в школе.
|
![]() |
Сценарий праздника "Последний звонок". Богата праздниками жизнь человека. Одни повторяются часто, другие - реже. И среди них есть особенный, неповторимый - "Последний звонок".
|
![]() |
Преемственность в обучении математике между начальной и средней школой (обобщение опыта с использованием условий для оптимального развития способностей школьника)
Организация обучения математике (организационные приёмы решения элементарных задач)
|
![]() |
Это исследовательская работа моей ученицы - Тузовой Ирины. "С очень давних времен людям свойственно было приписывать тем или иным числам магические свойства – одни числа считали счастливыми другие – наоборот, несчастливыми. Причем и то, и другое - без всяких на то оснований. Мы попробуем объяснить мистическое, сверхъестественное, таинственное значение чисел 7 и 13." |
|
|
|
|
Исследовательская работа по математике «Геометрическое определение коэффициента комфортности жилья» |
|
|
|
|
| Неделя математики | |
| Разработка недели математики | |
| Математическая переменка | |
| 1 день | |
| 2 день | |
| 3 день | |
| 4 день | |
| Турнир смекалистых | |
| Сценарий Презентация | |
| Женщины - математики | |
| Женщины- математики Презентация | |
| Софья Ковалевская | |
| Викторины | |
| 2 класс | |
| 3,4 класс |












